2026年春节假期将至,为方便外地来揭游客和广大市民群众休闲出行停放车辆,确保节日期间道路交通安全畅通,春节期间揭阳城区部分党政机关企事业单位停车场共计9419个车位将免费对外开放。
一、开放时间
2026年2月15日8:00起至2月23日24:00止。
二、注意事项
(一)本次对外开放停车位仅限7座及以下、牌证齐全的小型家用非营运汽车停放。
(二)为保障停车秩序,外来车辆进入指定停车场时,驾驶人须主动向门卫值班室出示本人及车辆合法有效证件完成登记,服从现场工作人员引导,在指定区域规范停放,并在车头醒目位置预留联系方式,做到文明、安全、有序停车。
(三)车辆驾驶人应严格遵守停车场管理相关规定,在规定时段及指定区域内停放车辆。对超时停放、不服从管理、干扰单位正常工作秩序等行为,管理单位有权依法拖移车辆,并拒绝该车辆后续进入;对造成停车场及公共设施损坏的,须依法照价赔偿。
(四)本次对外开放停车场为公益性临时停车场地,实行免费停放,不提供财物保管服务,不承担车辆及车内物品遗失、车辆刮擦损坏等相关责任,请车主自行做好安全防范措施。
(五)若因特殊情况需临时取消或调整开放时间,由各开放单位提前向社会公告,敬请广大市民理解配合。
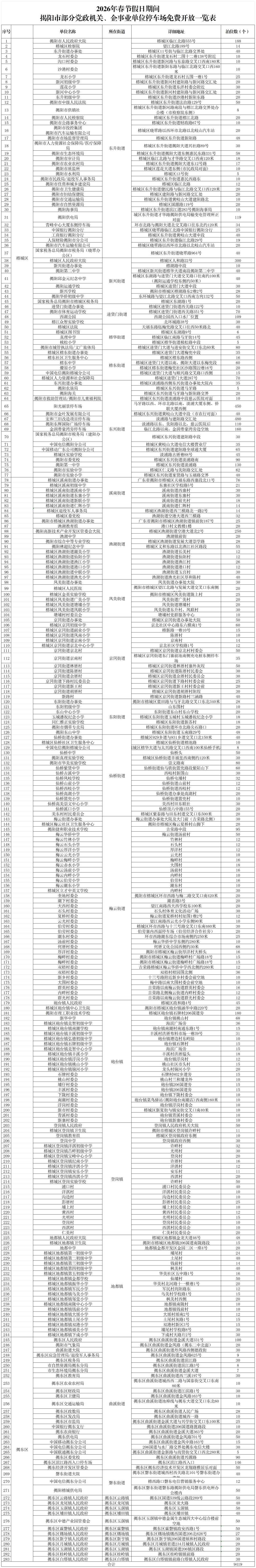
三、停车地点

揭阳市道路交通安全工作
联席会议办公室
2026年2月12日